Numeri reali e complessi e generalità sulle funzioni reali di una variabile reale
L’insieme dei numeri reali
Simbologia insiemi numerici e operazioni in N
Di seguito i simboli che denotano i vari insiemi numerici:
- insieme dei numeri naturali (Es: 1,2,3,4,5…)
- (Es: 0,1,2,3,4,5…)
- insieme dei numeri interi relativi (-2,-1,0,+1,+2)
- = insieme dei numeri razionali (Es. tutti i numeri che posso essere scritti come frazione) Ricordiamo il percorso che porta da a , i numeri naturali sono concetti primitivi perché legati ad una capacità della nostra mente ovvero quella di “associare”, un altro concetto primitivo è il concetto di “successivo di un numero” che in questa fase indicheremo con . Nei numeri naturali vale il concetto di induzione (se una proprietà è vera per , si suppone che sia vera per , e si dimostra vera per allora è vera per tutti gli ). Partendo dal principio di induzione si possono definire varie operazioni (somma, prodotto e derivati) in di seguito elencate:
- se esiste tale che
proprietà delle potenze
Inoltre abbiamo delle operazioni inverse (sottrazione e divisione) nate per risolvere dei problemi:
- Sottrazione: trovare tale che
- Divisione: trovare tale che Essi tuttavia non sono sempre risolubili, infatti il primo lo è solo se e il secondo solo se è multiplo di , questi problemi hanno portato all’introduzione degli insiemi numerici successivi.
Insiemi numerici successivi ad N
l’insieme dei numeri relativi definito così:
definizione di Z (insieme numeri relativi)
Introducendo le operazioni e l’ordine nella maniera ben nota è subito evidente che il problema della sottrazione in è sempre risolto. Associando ad ogni il numero si ottiene una corrispondenza biunivoca fra e l’insieme dei numeri interi positivi, quindi possiamo considerare un sottoinsieme di .
l’insieme dei numeri razionali definito così:
definizione di Q (insieme dei numeri razionali)
questi numeri li rappresentiamo sempre nella forma: .
Introducendo le operazioni e l’ordine nella maniera ben nota è subito evidente che anche il problema della divisione in è sempre risolto. Associando ad ogni il numero si ottiene una corrispondenza biunivoca fra e l’insieme dei numeri razionali con denominatore 1, quindi possiamo considerare un sottoinsieme di . Questo insieme lascia tuttavia irrisolto il problema dell’estrazione della radice ovvero:
Esempio
questa operazione non ha nessuno soluzione in
è necessario quindi introdurre un insieme di numeri più ampio ovvero la rappresentazione decimale dei numeri razionali, infatti ogni numero razionale ammette una rappresentazione del tipo costituita da un segno, un numero intero e una successione di cifre decimali che sono o un numero finito o periodici. A questo punto possiamo introdurre l’insieme dei numeri reali definito così: i suoi elementi sono detti numeri reali:
- Numeri reali razionali: se hanno una successione periodica di cifre decimali
- Numeri reali irrazionali: se non hanno una successione periodica di cifre decimali
Introduciamo ordine e operazioni in R
- Introduciamo un ordine in R:
Per farlo si procede così:
- Ogni numero negativo è minore di 0, e ogni numero positivo e maggiore di zero
- dati due numeri positivi e diremo maggiore quello in cui la prima cifra diversa è maggiore
- dati diremo che se
- Introduciamo la somma in R
Per farlo si procede così:
- per ogni
- se per ogni si considera il numero + è possibile vedere che da un certo valore di in poi i 2 numeri hanno la stessa parte intera, la stessa prima cifra. ( è il numero di cifre dopo la virgola)
la parte intera si stabilizza per , la prima cifra decimale per , la seconda cifra decimale per , ecc… - se uno dei due numeri è negativo si procede come nel caso dei numeri razionali. Esempio: .
- Rappresentazione dei numeri reali L’insieme dei numeri reali viene rappresentato su una retta dove si costruisce una corrispondenza biunivoca fra e l’insieme di punti di una retta, associando ad ogni il punto della retta avente ascissa .
Densità di Q e di R\Q in R
Teorema: Siano due numeri reali con . Allora, esistono infiniti numeri razionali e infiniti numeri irrazionali tali che , .
Da questo teorema segue che tra e esistono infiniti numeri reali.
Spiegazione: Se prendi due numeri reali a e b con a<b, tra di loro non c’è mai un “vuoto”: ci sono sempre infiniti numeri che stanno tra a e b.
Non solo: tra a e b ci sono infiniti razionali (numeri come , , , ecc.) e infiniti irrazionali (numeri come )Conseguenza
Nomenclature sugli intervalli
Intervalli limitati:
- (Intervallo aperto)
- (Intervallo chiuso) Intervalli non limitati:
- (Intervallo non limitato superiormente)
- (Intervallo non limitato inferiormente) Intervalli notevoli:
- intervallo generico
Intorno di un numero
Un’intervallo del tipo (con ed ) viene detto Intorno di c di raggio r e si denota con
Proprietà di Archimede
Dati esiste un tale che
Insiemi finiti, infiniti, numerabili
Definizione: Siano e due insiemi non vuoti, diremo che hanno la stessa potenza se esiste una corrispondenza biunivoca Definizione: Sia un insieme non vuoto. Diremo che è finito ed ha elementi se esiste una corrispondenza biunivoca fra e l’insieme . In caso contrario è detto infinito. La caratteristica di un insieme infinito e che esso ha la stessa potenza di un suo sottoinsieme proprio (pur avendo più elementi!). Ad esempio, consideriamo l’insieme dei numeri naturali e l’insieme dei numeri naturali pari. Associando ad ogni il numero si ottiene una corrispondenza biunivoca. Definizione Un insieme si dice numerabile se ha la stessa potenza di . e sono entrambi numerabili. Per invece possiamo dire le seguenti cose:
- Tutti gli intervalli hanno la medesima potenza
- Questo significa che, ad esempio, l’intervallo , o anche hanno tutti la stessa cardinalità. Anche se sembrano “lunghi” in modo diverso, da un punto di vista insiemistico, contengono lo stesso numero di elementi.
- La potenza degli intervalli è maggiore della potenza del numerabile
- un intervallo reale come non è numerabile: non esiste un modo per elencare tutti i numeri reali in quell’intervallo.
- ha la stessa potenza degli intervalli
- L’insieme dei numeri reali , anche tutto intero (non solo un intervallo), ha la stessa cardinalità di qualsiasi intervallo reale.
Valore assoluto
Se si chiama valore assoluto di il numero reale definito ponendo:
- se
- se
Di seguito le proprietà del valore assoluto:
Estremo inferiore ed estremo superiore
Sia un insieme numerico, ossia un sottoinsieme non vuoto di .
- Minimo: è un elemento tale che per ogni (è unico)
- Massimo: è un elemento tale che per ogni (è unico)
- Minorante: un numero è detto minorante di se per ogni , denoteremo con l’insieme dei minoranti di . Osserviamo che:
- se e allora , quindi i minoranti di se esistono sono infiniti
- se esiste un
- se per ogni esiste
- Maggioranti: un numero è detto maggiorante di se per ogni . Denoteremo con l’insieme dei maggioranti di . Osserviamo che:
- se e allora , quindi i maggioranti di , se esistono sono infiniti
- se esiste
- se, per ogni esiste un
EXAMPLE
Dato l’insieme :
- l’insieme dei maggioranti di è
- l’insieme dei minoranti di è
- Limitato inferiormente: è limitato inferiormente se
- Limitato superiormente: è limitato superiormente se
- Limitato: è detto limitato se è sia limitato superiormente che inferiormente
In definitiva, un insieme è limitato se e solo se esiste un intervallo che lo contiene, detto ciò possiamo definire il seguente teorema: Teorema:
- Sia un insieme limitato inferiormente, allora possiamo dire che è dotato di massimo
- Sia un insieme limitato superiormente, allora possiamo dire che è dotato di minimo Quindi possiamo dire che:
- Estremo inferiore: che denotiamo con è uguale al , se non è limitato inferiormente si pone . Dato un numero questo è l’estremo inferiore di se e solo se verifica queste proprietà:
- Estremo superiore: che denotiamo con è uguale al , se non è limitato superiormente si pone . Dato un numero questo è l’estremo superiore di se e solo se verifica queste proprietà:
Nozioni di topologia
Sia un insieme numerico, di seguito varie nozioni di topologia:
- Punto interno: è detto punto interno se esiste un tale che , indichiamo con l’insieme dei punti interni.
- Osserviamo che se è un intervallo , i punti interni sono i tutti e soli punti dell’intervallo aperto
- Punto di frontiera: un numero reale è detto punto di frontiera per se per ogni nell’intorno ci sono elementi di che elementi di
- Punto di accumulazione: un numero reale è detto punto di accumulazione per se, per ogni nell’intorno ci sono elementi di diversi da . L’insieme dei punti di accumulazione di accumulazione si denota con
- Insieme aperto: si dice aperto se è vuoto oppure quando
- Insieme chiuso: L’insieme è detto chiuso se il suo complementare è aperto. Si definisce chiusura di l’insieme ovvero un insieme si dice chiuso se e solo se contiene tutti i suoi punti di frontiera
Osservazioni: - se un punto è interno allora è di accumulazione
- se un punto è di frontiera potrebbe non essere di accumulazione
- se , il punto è di frontiera ma non di accumulazione.
- si dice denso in se . Dal teorema di densità di in segue che tutti i numeri reali sono punti di accumulazione per quindi , lo stesso vale per . Si ha dunque, se è un intervallo limitato, posto oppure , si ha .
Potenze e radici
Se e si definiscono i seguenti assiomi:
- = 1
- =
- Se e si definisce Per definire la potenza nel caso in cui l’esponente sia razionale o irrazionale dobbiamo premettere il seguente teorema
Teorema della radice n-ma aritmetica: Siano un numero reale positivo ed un numero naturale maggiore o uguale a 2. Allora esiste uno ed uno solo numero positivo tale che , il numero è detto radice n-ma aritmetica di e si indica con
grazie a questo teorema se e si definisce:
- =
- Tutte le potenze definite fino ad adesso sono tutte positive infatti. Inoltre ricordiamo che:
- se sia ha se e solo se
- se si ha se e solo se Per poter estendere la definizione di radice (data sopra) dobbiamo discutere l’equazione binomia, come fatto di seguito: Discussione equazione binomia Siano e con vogliamo trovare tutti i numeri reali tali che , l’equazione è detta equazione binomia. Di seguito tutte le soluzioni al variare di
- l’unica soluzione è
- ci sono 2 soluzioni:
- per pari
- per dispari
- :
- Non ci sono soluzioni per pari
- per dispari Grazie a quanto appena visto possiamo dire che per ogni e per ed dispari
Logaritmi
Siano due numeri positivi con . Si può dimostrare che l’equazione ha una e una sola soluzione detta logaritmo di in base e indicata con , da questo capiamo che il logaritmo verifica la seguente uguaglianza: Di seguito un po’ di proprietà dei logaritmi: Dalla prima e dall’ultima delle precedenti eguaglianze, si ottiene Osserviamo inoltre che se e solo se e sono entrambi maggiori di 1 o minori di 1.
Cenni sui numeri complessi
Definizione
Definizione: Definiamo numero complesso una coppia ordinata di numeri reali: con . Indichiamo con l’insieme dei numeri complessi. Equivalenza: se e sono due numeri complessi, diremo che se e se
Dalla definizione appare chiaro che si possa stabile una corrispondenza biunivoca fra e il piano cartesiano, facendo corrispondere ad il punto del piano avente coordinate .
Notazione:
Dato :
- se : è detto numero complesso reale
- se è detto numero complesso immaginario
- se e numero immaginario puro Convenzioni:
- zero complesso
- unità reale
- unità immaginaria
- opposto di
- coniugato di
- modulo di
TIP
Presa un’unita reale il suo modulo è:
Introduciamo le operazioni
- somma
- prodotto Osservazioni
- (un numero alla seconda che da risultato negativo)
È possibile indentificare ogni numero reale come il numero complesso reale si può dunque considerare come un sottoinsieme di (per questo possiamo affermare che anche se siamo nel campo complesso)

Forma algebrica e forma trigonometrica
Forma algebrica: Sia alla luce delle definizione viste prima possiamo osservare che: dopo la freccia troviamo la forma algebrica di , molto utile perché possiamo considerare come un polinomio in specifico come somma di una “parte reale” () e di una “parte immaginaria” ()
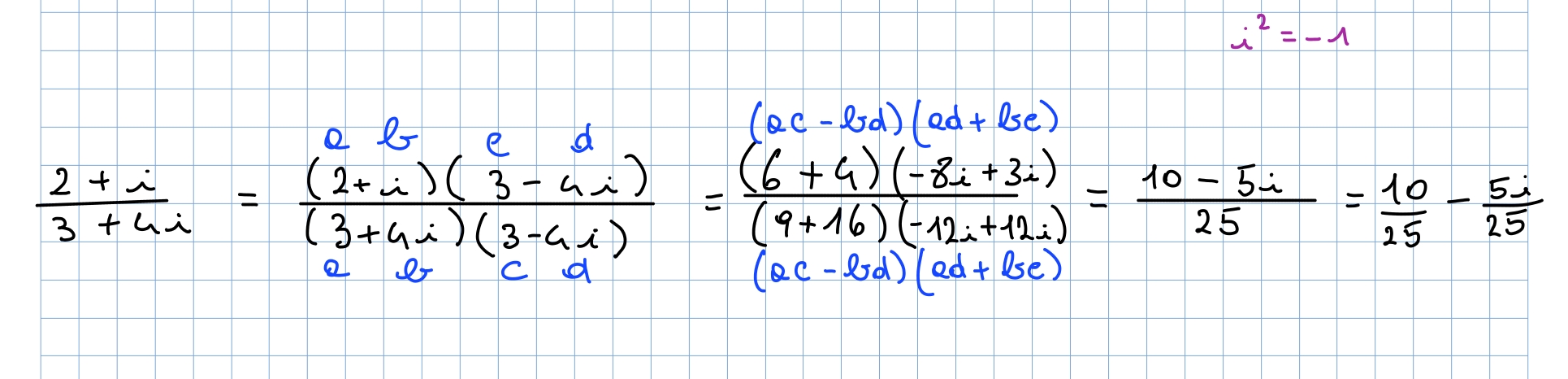
Esempio
ottenendo un quoziente dei due numeri, in forma algebrica.
Forma trigonometrica
Ricordiamo la costruzione del piano cartesiano:
Sia ora un numero complesso non nullo, e sia il punto del piano che lo rappresenta. Indichiamo con la misura in radianti del più piccolo angolo di cui deve ruotare il semiasse delle ascisse(x) positive per sovrapporsi in direzione e verso alla semiretta orientata da verso . Se è la proiezione di sull’asse delle ascisse, il triangolo è un triangolo rettangolo quindi si ha:
- Detto ciò possiamo scrivere il numero nella seguente forma:
Da forma algebrica a trigonometrica
- forma algebrica
- perché nel piano cartesiano si trova nell’asse y coord = (0,1)
- calcolo modulo di
- forma trigonometrica
Prodotto in forma trigonometrica: il prodotto di due numeri in forma trigonometrica dopo varie deduzioni utilizzando la formula di addizione del coseno e seno si deduce facilmente la seguente formula detta formula di Moivre che fornisce la la potenza intera di un numero complesso:
EXAMPLE
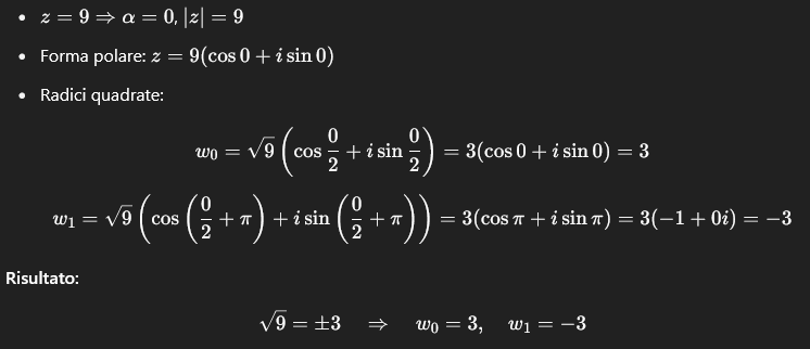
Radici
Siano un numero complesso e un intero maggiore o uguale a 2. Un numero complesso tale che è detto radice ennesima di . Di seguito ci proponiamo di trovare tutte le radici ennesime di :
- : per la legge dell’annullamento del prodotto l’unica radice è .
- : in tal caso le eventuali radici saranno evidentemente non nulle. Sia una di esse Scriviamo e in forma trigonometrica
- Usando la formula di Moivre scriviamo l’uguaglianza in questo modo: Da questo concludiamo le seguenti cose:
- esiste un Quindi la radice sarà del tipo: Al variare di nell’insieme otteniamo tutte le radici distinte di
EXAMPLE
Le radici quarte di sono: per ovvero le seguenti scritte in forma esponenziale:
Non scriviamo perché lavorando con il modulo è sempre 1
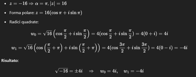
Se consideriamo il caso specifico delle radice quadrate avremo le due radici distinte scritte di seguito:
- allora possiamo dire che (grazie alle formule 3 e 4). In particolare possiamo osservare che se :
- se , e allora si ottengono le due radici
- se , e si ottengono le due radici
Example
![]()
by ChatGpt
Questa cosa ha delle implicazioni, ad esempio nella formula del per la risoluzione delle equazioni di secondo grado, infatti in caso di negativo la formula risolutiva diventa:
EXAMPLE
Ad esempio, le soluzioni dell’equazione (a coefficienti reali, con discriminante negativo) sono
Funzioni reali di una variabile reale
Generalità
Sia una funzione reale definita in un sottoinsieme di , ovvero . Si chiama grafico di il seguente sottoinsieme di :
Definizioni:
- Funzione pari: si dice pari se e solo se il suo grafico è un insieme simmetrico rispetto all’asse delle ordinate(y) cioè se contiene il punto allora contiene anche il punto
- Funzione dispari: è una funzione dispari se e solo se il suo grafico è un insieme simmetrico rispetto all’origine cioè se contiene il punto allora contiene il punto
- Funzione periodica: si dice periodica se esiste un numero positivo (detto periodo) tale che si ha inoltre è periodica se e solo se
- Immagine di f: denotata con l’immagine di è l’insieme dei valori che la funzione può assumere.
- alcuni concetto insiemistici legati ad vengono per definizione attribuiti ad .
- Diremo che è limitata se lo è l’insieme numerico .
- Gli estremi inferiore e superiore e gli eventuali minimo e massimo di verranno chiamati estremi inferiore e superiore, minimo e massimo di . L’estremo inferiore si indica con
- Se ha il minimo esso viene chiamato minimo assoluto di in , sia esso . Dato che è un valore della funzione allora esiste un punto tale che e viene chiamato punto di minimo assoluto. In modo analogo si introducono il massimo assoluto e il punto di massimo assoluto.
- alcuni concetto insiemistici legati ad vengono per definizione attribuiti ad .
- Oscillazione di f: chiamiamo oscillazione di la quantità
Tip
Di seguito supporremo normalmente che l’insieme di definizione di di sia un intervallo
Funzione composta
Siano date due funzioni:
- allora per ogni è possibile porre . La funzione definita in questo modo viene detta funzione composta da f (funzione esterna) e g(funzione interna).
Estremi relativi:
- Un punto è detto punto di minimo relativo per se esiste un suo intorno tal che per ogni
- Un punto è detto punto di massimo relativo per se esiste un suo intorno tal che per ogni Un punto di estremo assoluto e anche di estremo relativo, ma non il viceversa.
Monotonia
Sia data una funzione si dice che questa è monotona se soddisfa una delle seguenti condizioni:
- crescente: se
- strettamente crescente: se
- decrescente: se
- strettamente decrescente: se Notiamo subito che una funzione strettamente monotona è iniettiva, quindi invertibile. Si vede facilmente che anche la sua funzione inversa gode dello stesso tipo di monotonia. Possiamo introdurre anche il concetto di monotonia locale, ovvero dato una punto si dice che la funzione è crescente nel punto se esiste tale che:
- se si ha
- se si ha in modo simmetrico si introduce il concetto di funzione decrescente.
Rapporto incrementale
Sia e sia . Per ogni poniamo:
viene chiamato rapporto incrementale di relativo al punto , questo è utile per verificare la monotonia locale di grazie al seguente teorema:
Teorema
La funzione è crescente (o decrescente) nel punto se e solo se esiste un intorno tale che, per ogni si abbia (o )
Dimostrazione
Supponiamo che in . In il denominatore di r e negativo, quindi lo e anche il numeratore: dunque, . In il denominatore di e positivo, quindi lo e anche il numeratore: dunque, . Ne segue che e crescente nel punto . Il viceversa si prova allo stesso modo.
Funzione convessa
La funzione è detta convessa se per ogni e per ogni si ha:
in italiano significa che la porzione di grafico compresa tra le ascisse e è al di sotto di un segmento che congiunge questi due punti: e . La nozione di convessità la possiamo esprimere anche così:
ovvero la porzione di grafico che sta al di sopra del grafico

Si prova che la funzione f è convessa se e solo se e un sottoinsieme convesso di , cioè, se contiene due punti, contiene anche il segmento che li congiunge.
Funzioni elementari
Di seguito alcune funzioni che nascono dalle operazioni definite in dette funzioni elementari, la funzione inversa di una funzione elementare è anche essa elementare.
- Funzione constante: Se la funzione è definita in
- Funzione identità: funzione è definita in
- Funzione potenza con esponente intero positivo: Se la funzione è definita in
- Funzione potenza con esponente intero negativo: Se la funzione è definita in
- Funzione con esponente razionale: se , la funzione ed è definita in:
- in se
- in se
- Funzione con esponente irrazionale: se , la funzione è definita in:
- in se
- in se
- Radice n-ma: Se la funzione è definita in
- se è dispari
- se è pari
- Funzione esponenziale: Se la funzione è definita in
- Funzione logaritmica: Se la funzione è definita in
- Funzione Coseno e seno: Per ogni si consideri il punto , l’ascissa e l’ordinata di P sono dette rispettivamente e , le funzioni e sono definite in

- Funzione tangente: la funzione è definita in
- Funzione arcocoseno e arcoseno: Per ogni sia l’unico punto dell’intervallo tale che , si definisce così la funzione inversa di nell’intervallo . In modo analogo si introduce la funzione inversa di nell’intervallo
- Funzione arcotangente: come visto per il punto precedente si costruisce per ogni la funzione inversa di
- Funzione polinomi: Se e la funzione definito in
- Funzioni razionali fratte: la funzione () è definita in
Osservazioni sulle funzioni elementari
Di seguito un po’ di osservazioni sulle funzioni elementari:
- Se è pari la funzione è pari ed è strettamente crescente in e la sua inversa (ovvero ) è strettamente decrescente in .
- Se è dispari la funzione è dispari ed è strettamente crescente in
- Se il polinomio si dice costante si ha cioè per ogni valore di . Due polinomi e si dicono identici se per ogni , inoltre si può dimostrare che e sono identici se e solo se:
- per ogni
- Dati due polinomi e esiste un polinomio (quoziente) ed un polinomio (resto) tale che:
- L’equazione detta equazione algebrica ha esattamente soluzioni distinte, se d tali soluzioni coincidono, detto il loro comune valore, si dice che è una soluzione di molteplicità (questi zeri possono essere anche numeri immaginari)
- Supponiamo che il numeratore e il denominatore di siano polinomi primi fra loro (privi di divisori comuni). Si può dimostrare che può essere espressa come somma di frazioni del tipo () e di frazioni del tipo dette fratti semplici. Per trovare i fratti semplici è necessario trovare gli zeri del polinomio al denominatore.
Cose da ricordare
Formule della trigonometria
| Id | Formula | Nome / Spiegazione |
|---|---|---|
| 1 | Seno è una funzione dispari | |
| 2 | Coseno è una funzione pari | |
| 3 | Traslazione di mezzo giro | |
| 4 | Come sopra | |
| 5 | Formula della somma per il seno | |
| 6 | Formula della somma per il coseno | |
| 7 | Formula della differenza per il seno | |
| 8 | Formula della differenza per il coseno |
Formule utili per il calcolo del dominio
| Tipo di funzione | Forma | Dominio | Note |
|---|---|---|---|
| Costante | Definita ovunque | ||
| Identità | |||
| Polinomiale | |||
| Potenza | |||
| Potenza negativa | Denominatore diverso da 0 | ||
| Potenza razionale (pari) | pari | se se | Dipende dal segno dell’esponente |
| Potenza razionale (dispari) | dispari | ||
| Potenza irrazionale | con | se se | |
| Radice -esima (pari) | con pari | ||
| Radice -esima (dispari) | con dispari | ||
| Esponenziale | |||
| Logaritmica | |||
| Seno | Periodica | ||
| Coseno | Periodica | ||
| Tangente | |||
| Arcoseno | Inversa del seno | ||
| Arcocoseno | Inversa del coseno | ||
| Arcotangente | Inversa della tangente | ||
| Razionale fratta | Denominatore diverso da 0 |
Capitolo 2
Questo è la rielaborazione del file Appunticap2.pdf
Successioni di numeri reali
Successioni
Definizione
Una successione di numeri reali è una funzione reale definita in (definizione di N) di questo tipo: .
TIP
In parole semplici: per ogni numero naturale , la funzione ti dà un numero reale , che è il termine della successione in posizione .
Se si usa la notazione , in questo modo la successione viene identificata con l’insieme dei suoi elementi: , l’elemento generico viene detto elemento di posto . Verifica definitivamente: Si dice che la successione verifica definitivamente (nel seguito semplicemente D) una condizione se esiste una tale che per ogni l’elemento verifica .
TIP
Verifica definitivamente vuol dire che dopo un certo punto(ovvero un certo ), tutti i termini della successione rispettano una certa proprietà.
EXAMPLE
La successione: ovvero l’insieme: come possiamo bene notare la successione dopo è sempre positiva e quindi possiamo affermare che la successione è definitivamente positiva
Se due condizioni sono verificate definitivamente ad esempio una per e una per allora per valgono entrambe.
Successione limitata
Una successione è detta limitata se lo è l’insieme dei suoi termini ovvero se esistono tali che per ogni si ha quindi che , i concetti di minimo, massimo, estremo inferiore o superiore coincidono con quelli relativi all’insieme dei suoi termini.
EXAMPLE
La successione: ovvero l’insieme: che ha come minimo 0
Proposizione: Una successione limitata è limitata. Dimostrazione: Se si ha per ogni ponendo:
- si ha per ogni
Successioni regolari
Limite di una successione (converge)
Sia un numero reale. Si dice che la successione converge o tende ad o che è il limite della successione (che si denota con o ) se è verificata la seguente condizione: ovvero se dato un qualunque intorno di , definitivamente i termini delle successione () appartengono a tale intorno, questo si traduce in termini matematici in questa cosa:
- Se questa condizione è vera, significa che la successione “si stabilizza” attorno al valore . E quindi che man mano che diventa grande, i termini rimangono vicini ad quanto vogliamo (scegliendo un sufficientemente piccolo).
Warning
Con intendiamo ovvero quando il valore di va verso infinito il valore della del nostro generico si avvicina ad viene approfondito dopo i teoremi
Quote
Salvo Romeo
Se la successione è detta infinitesima o semplicemente un infinitesimo
EXAMPLE
La successione: tende a La successione tende a 0
Teoremi
Teorema dell’unicità del limite: se una successione converge, il suo limite è unico Dimostrazione: Supponiamo per assurdo che esistano 2 limiti: e con . Scelto un tale che , allora abbiamo la seguente disequazione: come possiamo notare abbiamo che è un assurdità.
Teorema della permanenza del segno: Se (o ) allora si ha definitivamente (o ) Teorema non in matematichese: questa cosa significa che se (o ) allora prima o poi nella successione anche sarà (o ) Dimostrazione: Supponiamo . Scelto tale che allora definitivamente si ha (il caso si prova in modo simile) Generalizzando possiamo dire che:
- preso un numero e con allora definitivamente si ha che
- preso un numero e con allora definitivamente si ha che
Teorema di confronto per successioni convergenti: Se per ogni e , allora Teorema non in matematichese: se le successioni e tendono ad e sappiamo che un terza successione è compresa tra e per ogni allora anche queste tende a Dimostrazione: per la definizione di limite sappiamo che definitivamente si ha:
- allora si ha sicuramente che:
Limiti di una successione (diverge)
Si dice che la successione diverge o tende a (o ) e si denota con o (o ) se e solo se è verificata la seguente condizione: vale ovviamente anche: ovvero se e solo se definitivamente preso un qualsiasi numero trovo all’interno della successione un numero maggiore\minore. Anche per la divergenza vale l’unicità del limite, per quanto riguarda il teorema delle permanenza del segno possiamo dire che i termini di una successione divergente sono positivi/negativi.
TIP
Una successione di numeri positivi può tendere:
- ad un limite positivo
- a zero
- a
Una successione di numeri negativi può tendere:
- ad un limite negativo
- a zero
- a
Altri teoremi
Teorema di confronto per successioni divergenti: Se per ogni e allora oppure se allora Teorema non in matematichese: se la successione è sempre più piccola di allora se anche (anche l’altro caso funziona allo stesso modo) Dimostrazione: Se allora definitivamente si ha ne segue che (l’altro caso si prova in modo analogo)
Successione regolare o oscillante
Una successione è detta regolare se converge o diverge, per una successione regolare il limite è unico, quando una successione non è regolare allora è detta oscillante
EXAMPLE
Per capire bene questo esempio bisogna ricordarsi la definizione di limite
Successioni e valore assoluto
Accanto alla successione consideriamo la successione allora possiamo affermare le seguenti cose:
- Se allora il viceversa non vale infatti posto la successione dei valori assoluti è constante e converge ad (in questo caso ) ma oscilla
- Se oppure si ha il viceversa non vale infatti posto la successione dei valori assoluti vale e quindi diverge invece oscilla. Se allora la successione è detta infinitamente grande
Regolarità e limitatezza
Si hanno le seguenti affermazioni:
- Una successione convergente è limitata, infatti essa è D compresa ad esempio tra e quindi è D limitata, non vale il viceversa infatti è limitata ma oscillante
- Una successione che diverge a è limitata inferiormente
- Una successione che diverge a è limitata superiormente
Successioni monotone
Si dice che la successione è monotona se verifica una delle seguenti condizioni:
- successione strettamente decrescente
- Se è maggiore di allora la funzione sta decrescendo
- successione decrescente
- Se è maggiore o uguale di allora la funzione sta decrescendo
- successione strettamente crescente
- Se è minore di allora la funzione sta crescendo
- successione crescente
- Se è minore o uguale di allora la funzione sta crescendo
Altri teoremi
Teorema di regolarità (o sul limite) delle successioni monotone:
- Una successione che verifica una delle condizioni e tende al suo estremo inferiore
- Una successione che verifica una delle condizioni e tende al proprio estremo superiore Dimostrazione Proviamo per semplicità solo il caso della divergenza:
- Se fissato il numero non è un minorante per la successione perché esiste sicuramente un numero nella successione più piccolo di ovvero . Per si ha che è la tesi
- Se fissato il numero non è un maggiorante per la successione perché esiste sicuramente un numero nella successione più grande di ovvero . Per si ha che è la tesi
Operazioni con i limiti delle successioni
1. Successione con uno scalare
Sia una successione regolare e sia un numero reale. Prendiamo in considerazione la successione allora si ha: 1. se allora 2. se e allora 3. se e allora 4. se e allora 5. se e allora Dimostrazione: - 1) se , la tesi è ovvia, se per ottenere basta osservare che D si ha - 2) Per ottenere basta osservare che D si ha - 3) Per ottenere basta osservare che D si ha - 4) e 5) si provano in modo simile
2. Successione somma
Date due successioni e prendiamo in considerazione la successione somma allora si ha che: 1. Se e allora 2. Se ed esiste un numero per ogni allora Dimostrazione: - 1) Fissato esistono tali che per si ha e per si ha . Allora per si ha - 2) Si ha quindi dato che D si ha ne segue Osserviamo: che la successione nel caso 2 può non essere regolare (e.g se e si ha lo stesso che ) e quindi possiamo dedurre: 1. Se e allora 2. Se e allora 3. Se e allora 4. Se e allora se una delle due successioni diverge a e l’altra a (o viceversa) si ha una forma indeterminata questo significa che si posso avere molte situazioni diverse.
TIP
I risultati contenuti nei casi 1) e 2) sono utili per studiare le successioni del tipo
3. Successione prodotto
Date due successioni e e prendiamo in considerazione la successione prodotto si ha che: 1. Se e allora 2. Se e è limitata allora - osserviamo che la successione può non essere regolare ( se e si ha ) 3. Se ed esiste un numero positivo per ogni allora Dai risultati precedenti si deduce la seguente tabella sul comportamento della successione prodotto: - Se e allora - Se e allora - Se e allora - Se e allora - Se e allora - Se e allora - Se e allora Infine se una delle due successione diverge e l’altra tende a si ha una forma indeterminata
4. Successione reciproca
Sia una successione regolare e D non nulla, prendiamo in considerazione la successione reciproca allora possiamo dire che: 1. Se allora 2. Se allora 3. Se allora
5. Successione quoziente
Date due successioni e con D, prendiamo in considerazione la successione quoziente . Essa viene studiata utilizzando i risultati visti ai punti 3 e 4 scrivendola nella forma
Limiti notevoli
Alcune successioni sono espresse mediante funzioni elementari, e qui vediamo le più comuni:
Successione potenza
ovvero
- Se la successione è costante
- Se si ha
- Se si ha
Successione in forma di polinomio
ovvero che per semplicità si trasforma in: e si ha che mentre la quantità fra parentesi tende ad quindi:
- se
- se
TIP
I termini dentro la parentesi tendono a perché all’aumentare di verso questi numeri diventano sempre più piccoli e quindi tendono a , l’unico valore importante per determinare la tendenza della successione è quello di grado più alto ovvero che se moltiplicato per tende a in base al segno
Successione in forma di funzione razionale
ovvero che possiamo scrivere anche come: usando quello che abbiamo detto per le successioni in forma di polinomio possiamo affermare che: 1. se si ha 2. se si ha 3. se si ha se e hanno lo stesso segno 4. se si ha se e hanno lo segno diverso
EXAMPLE
- stesso grado quindi uso la prima regola
- uso la seconda regola
- uso la seconda regola
- e e hanno segno uguale quindi 3 regola
- e e hanno segno diverso quindi 4 regola
- e e hanno segno diverso quindi 4 regola
- e e hanno segno uguale quindi 3 regola
Successioni geometrica
ovvero con ha il seguente comportamento al limite:
- è oscillante
- ed è oscillante
Successioni composte mediante funzioni elementari
questo tipo di successioni si basano su questa Proposizione 1: Se è una funzione se , , allora si ha Esempio: Se si ha Di seguito alcuni casi di successioni composte mediante funzioni elementari: 1. Sia una successione regolare e sia un numero positivo e diverso da quindi studiamo la successione , per la proposizione scritta prima se allora si ha che . Se diverge dobbiamo distinguere se oppure e quindi si ha: - - dimostrazione: equivale a che è D vera dato che - - dimostrazione: - - dimostrazione: basta osservare che e - - dimostrazione: basta osservare che e 2. Sia una successione regolare di numeri positivi e sia un numero positivo e diverso da quindi studiamo la successione , per la proposizione scritta prima se si ha allora che , però dobbiamo distinguere i vari casi: - - dimostrazione: equivale a che è D vera dato che - - dimostrazione: basta osservare che - - Basta osservare che - - Basta osservare che 1. Successione del tipo essendo per ogni . Questa successione si scrive nella forma e in questa forma ci si può ricondurre ai casi , . Si avranno forme indeterminate se il prodotto si presenta nella forma .
Il numero e
Definizione
Consideriamo una successione del tipo: si può dimostrate che è strettamente crescente per un numero quindi converge ad un numero chiamato che di solito viene definito cosi: Da questo possiamo dedurre i seguenti limiti:
- Se allora si ha:
- Siano un numero positivo diverso da e allora si ha:
- sia si ha
- sia allora la successione allora definitivamente si ha che
Altri limiti notevoli
In caso di funzioni trigonometriche abbiamo i seguenti limiti notevoli (considerando una successione che tende a 0):
Successioni estratte
Definizione
Date le successioni e (quest’ultima strettamente crescente). La funzione composta è detta successione estratta da mediate la legge
EXAMPLE
se si ottiene la successione dei termini di posto pari se si ottiene la successione dei termini di posto dispari
Teorema
Teorema di regolarità delle successioni estratte: Se è regolare, ogni sua estratta ha il suo stesso limite, il viceversa non vale.
Example
la successione dei termini di posto pari è costante e quindi convergente da questo esempio possiamo capire anche che il viceversa non vale perché oscilla
TIP
Se una successione ha due estratte aventi limiti diversi essa oscilla
Si hanno tuttavia i seguenti risultati:
- se è regolare anche ha il suo stesso limite
- se e hanno lo stesso limite, anche ha il loro stesso limite
EXAMPLE
sia una successione regolare di numeri tutti positivi e poniamo , se , si ha anche . Se
- per n pari si ha
- per n dispari si ha
avendo 2 estratte con limiti diversi possiamo dire che non è regolare e quindi oscilla
Confronto tra infiniti e infinitesimi
Infiniti
Siano e due successioni infinitamente grandi detti infiniti:
- Sono dello stesso ordine se il loro rapporto tende ad un limite diverso da zero
- Si dice che è di ordine superiore rispetto a se il loro rapporto diverge
EXAMPLE
Intuitivamente è di ordine superiore perché cresce più velocemente
Infinitesimi
Siano e due infinitesimi:
- Sono dello stesso ordine se il loro rapporto tende ad un limite diverso da zero
- Si dice che è di ordine superiore rispetto a se il loro rapporto tende a zero
EXAMPLE
Dati il loro rapporto tende ad e quindi sono dello stesso ordine
Dati il loro rapporto e quindi è di ordine superiore
Successione definite per ricorrenza
Una successione si dice definita per ricorrenza se viene dato il suo primo termine e viene fornita una legge che calcola ciascun termine in funzione del precedente cioè una funzione del tipo
EXAMPLE
Quando si studia una successione di questo tipo si procede cosi:
- Studiare la monotonia
- Individuo quel numero che potrebbe essere l’estremo inferiore/superiore
- dal punto precedente segue che (grazie a quanto detto sulle successioni estratte sappiamo che anche )
- Per l’unicità del limite si deve avere
- Si risolve l’equazione e si cerca tra le eventuali soluzione un numero che possa essere l’estremo inferiore/superiore della successione. Se non esiste la successione diverge
Cose da ricordare
| Categoria | Proprietà/Formule | Espressione |
|---|---|---|
| Logaritmi | Prodotto | |
| Quoziente | ||
| Potenza | ||
| Radice | ||
| Cambio di base | ||
| Potenze | Prodotto stessa base | |
| Quoziente stessa base | ||
| Potenza di potenza | ||
| Potenza di prodotto | ||
| Radice come potenza | ||
| Radice di potenza | ||
| Trigonometria | Identità fondamentale | |
| Tangente e secante | ||
| Cotangente e cosecante | ||
| Doppio angolo (sin) | ||
| Doppio angolo (cos) | ||
| Doppio angolo (cos) alt. | ||
| Doppio angolo (cos) alt. | ||
| Doppio angolo (tan) | ||
| Mezza angolo (sin²) | ||
| Mezza angolo (cos²) |
Capitolo 3
Questo è la rielaborazione del file Appunticap3.pdf
Limiti e continuità delle funzioni reali di una variabile reale
Per una funzione reale si possono dare 9 definizioni di limite, precisamente studiare il limite di una funzione significa vedere qual è il comportamento della funzione stessa quando la variabile si avvicina (“tende”) ad un certo punto. Le nove definizioni si differenziano l’una dall’altra solo per il diverso significato di “definitivamente”.
Definizioni di limite
Limite al tendere di x a c
Quote
Punto di accumulazione: un numero reale è detto punti di accumulazione per se, per ogni nell’intorno ci sono elementi diversi da . L’insieme dei punti di accumulazione di accumulazione si denota con
Data una funzione reale definita in un insieme , se si definisce il limite di al tendere di a nel seguente modo:
-
Si dice che converge al numero al tendere di a e si scrive: se ovvero
Spiegazione intuitiva: Dire che il limite di per che tende a è uguale ad significa che possiamo rendere arbitrariamente vicino a , scegliendo sufficientemente vicino a (ma senza che debba essere uguale a ). In altre parole, per ogni livello di precisione che vogliamo raggiungere, esiste un intervallo attorno a (di ampiezza ) tale che, se si trova all’interno di questo intervallo (escluso il punto ), allora sarà compreso nell’intervallo . -
Si dice che diverge a al tendere di a e si scrive se Spiegazione intuitiva: Dire che tende a infinito quando si avvicina a significa che il valore di può diventare arbitrariamente grande, cioè maggiore di qualunque soglia positiva. Per ogni , esiste un tale che, se e , allora .
-
Si dice che diverge a al tendere di a e si scrive se Spiegazione intuitiva: Quando si avvicina a , il valore di diventa arbitrariamente negativo, cioè più piccolo di qualunque soglia negativa (cioè inferiore a ). Per ogni , esiste un tale che, se e , allora .
Come notiamo da queste definizione la condizione di limite deve essere verificata in un opportuno intorno di , se questa cosa accade possiamo dire che la definizione di limite è verificata definitivamente. Se una delle tre condizioni descritte sopra è verificata allora la funzione è detta regolare al tendere di x a c, per questo tipo di limite abbiamo i seguenti teoremi:
- Teorema dell’unicità del limite: Se una funzione è regolare al tendere di a il suo limite è unico
- Teorema della permanenza del segno:
- Se esiste un intorno di in cui si ha
- Se esiste un intorno di in cui si ha generalizzando questo risultato, possiamo concludere che se i valori della funzione saranno definitivamente minori (risp. maggiori) di
- Teorema di confronto per funzioni convergenti: siano tre funzioni definite nello stesso insieme e sia . Supponiamo che per ogni e che al tendere di a le due funzioni ed abbiano lo stesso limite . Allora anche tende ad
- Teorema di confronto per funzioni divergenti: siano due funzioni definite nello stesso insieme e sia , supponiamo che per ogni , allora:
- se allora
- se allora
- Teorema sul limite di una funzione composta: Siano date due funzioni . Sia e si supponga che e che . Allora, se si ha posto che
- Osservazione: Dal teorema 5 segue che, per una funzione composta, occorre prima esaminare il limite della funzione interna (ovvero ) e il limite di sarà quello a cui tende la funzione esterna quando la “sua” variabile tende a
- Teorema ponte: sia data una funzione e sia . Si ha (rispettivamente ) se e solo se per ogni successione di elementi di convergente a si ha
Limite sinistro e destro
Sia data una funzione , possiamo dire che:
- Per ogni il limite della restrizione di ovvero al tendere di a e si chiama limite sinistro di f (e si denota con )
- Per ogni il limite della restrizione di ovvero al tendere di a e si chiama limite destro di f (e si denota con ) Allora possiamo dire che se ed esiste il allora il limite destro e sinistro coincidono, vale anche il viceversa ovvero che se allora
Limite al tendere di x all’infinito
Data una funzione si definisce il limite di al tendere di a nel seguente modo:
- se
- se In modo simile si definisce per una funzione il limite di in tal caso la convergenza si definisce così:
- Anche in questo caso valgono i teoremi dell’unicità del limite, di confronto, della permanenza del segno e il teorema ponte
TIP
usando il teorema ponte si riescono a costruire tutte le operazioni come fatto nelle successioni
Limiti di funzioni elementari
Vale la seguente proposizione: Se è una funzione elementare, per ogni si ha . di seguito alcuni casi in cui non è vera questa condizione:
- Funzione esponenziale: Sia un numero positivo e diverso da 1, consideriamo la funzione , per studiare il suo limite dobbiamo considerare 2 casi:
-
- Funzione logaritmo: Sia un numero positivo e diverso da 1. Consideriamo la funzione per studiare il suo limite dobbiamo considerare 2 casi:
-
- Funzione potenza: per questo tipo di funzione dobbiamo distinguere 2 casi
- Funzione con esponente intero positivo\negativo
- se è pari
- se è dispari
- se è pari
- se è pari
- se è dispari
- se è dispari
- se è dispari
- Funzione con esponente non intero ()
-
- Funzione con esponente intero positivo\negativo
- Funzione polinomio: consideriamo il polinomio . con per determinare il suo limite riscriviamo il polinomio in questo modo: come dicevamo per le successioni la quantità tra partentesi tende a quindi ne segue che:
- se ;
- se ;
- se , pari;
- se , pari;
- se , dispari;
- se , dispari.
TIP
In generale possiamo dire che al tendere di i polinomi divergono sempre, per capire il segno basta fare questa cosa:
- Se è pari, il segno della divergenza è il segno di
- Se è dispari, il segno della divergenza è il segno opposto a
EXAMPLE
- Funzioni razionali fratte: Consideriamo la funzione definita così: per poter analizzare il limite di questa funzione dobbiamo distinguere vari casi:
- se n>m al tendere di la funzione diverge e per capire il segno dobbiamo esaminare il segno del numeratore e denominatore e moltiplicarlo per il segno di
- se n = m
- se n<m
EXAMPLE
- caso
- caso
- caso
Alcuni limiti notevoli
Limiti notevoli con funzioni trigonometriche
Utilizzando i limiti notevoli studiati per le successioni si ottiene che:
Limiti notevoli di tipo esponenziale
Confronto fra infinitesimi e fra infiniti
- Una funzione che tende a zero è detta infinitesima (o “infinitesimo”)
- Una funzione che diverge è detta infinitamente grande (o “un infinito”) il confronto è uguale a quello per le successioni
Asintoti
Definizione
Un asintoto per è una retta tale che la distanza del generico punto del grafico di da tenda a zero.
TIP
La distanza che c’è tra la funzione e l’asintoto diventa sempre più piccola quando ci allontaniamo dall’origine (ovvero quando ), allora possiamo dire che la nostra distanza tende a (ovviamente questa cosa vale per ogni tipo di asintoto).
Inoltre una tra o deve tendere a per avere un asintoto
Diversi tipi di asintoto
Abbiamo diversi tipi di asintoto:
- Asintoto verticale: Se la funzione diverge al tendere di a allora la retta di equazione è detta asintoto verticale per .
Infatti dato un generico punto del grafico si ha: visto che allora questa distanza tende a . Inoltre visto che allora deve essere vero che tende ad un’infinito ovvero che (almeno una):
- asintoto verticale sinistro
- asintoto verticale destro

EXAMPLE
- Asintoto orizzontale: Sia data una funzione e si supponga che allora la retta di equazione è detta asintoto orizzontale destro per .
Infatti dato un generico punto del grafico di si ha: per il limite scritto prima tende ad quando , quindi la distanza tra la diminuisce e tende a
Se abbiamo che e allora abbiamo 2 asintoti orizzontali:
- asintoto orizzontale destro
- asintoto orizzontale sinistro
EXAMPLE
- Asintoto obliquo: Sia data una funzione e si supponga che se ha un asintoto obliquo allora i due infiniti e devono avere lo stesso ordine di grandezza, in altre parole il rapporto deve ammettere un limite finito (ovvero ) al tendere di a .
dunque se:
- se allora la retta di equazione è asintoto obliquo destro per (in modo simmetrico si introduce quello sinistro). Infatti detto il generico punto del grafico di , si ha che tende a zero al tendere di a
EXAMPLE
Limiti delle funzioni monotone
CITE
Ricordiamo dal capitolo 1 che una funzione è detta monotona in un intervallo se in tale intervallo è crescente o decrescente (anche strettamente)
Teorema
Sia una funzione strettamente crescente in allora possiamo dire che:
- per ogni esistono i limiti destro e sinistro di al tendere di a e si ha che
- esistono i limiti di al tendere di ad e a e si ha:
- Osservazioni
- Se appartengono all’insieme di definizione si ha:
- Se è decrescente, si ha
Funzioni continue
Definizione
Sia data una funzione e sia un punto non isolato di , si dice che è continua in se . Si dice che è continua se è continua
In altre parole La funzione f è continua in un punto c se, quando x si avvicina a c, i valori di f(x) si avvicinano a f(c)
Teorema di Weierstrass
Sia una funzione reale continua in un intervallo chiuso e limitato , allora ammette minimo e massimo assoluti
Proprietà dei valori intermedi (PVI)
Si dice che una funzione gode della proprietà dei valori intermedi (brevemente PVI) se: dati per ogni esiste tale che , in altre parole se la funzione assume due valori allora questa assume anche i valori fra essi compresi.
Teorema di esistenza degli zeri
Teorema: sia una funzione reale continua in un intervallo chiuso e limitato e si supponga e (o viceversa). Allora esiste tale che Teorema non in matematichese: la continuità di implica che la funzione non può “saltare” da negativo a positivo senza passare per lo zero. Vogliamo trovare il punto dove si annulla. Dimostrazione: posto
- se la tesi è dimostrata
- se poniamo
se poniamo
in entrambi i casi si ha che:
- Procedo analogamente a partire dall’intervallo e reiterando lo stesso ragionamento, se per un certo si trova la tesi è dimostrata, in caso contrario si determinano due successioni e tali che per ogni si ha che
- La successione è crescente e limitata superiormente (da b) quindi converge al proprio estremo superiore . inoltre possiamo dire che Si ha allora per la continuità di : Poiché:
- da si ha
- da segue quindi segue necessariamente che
Teorema di esistenza dei valori intermedi (teorema di Darboux)
Teorema: Sia una funzione reale continua in un intervallo chiuso e limitato e si supponga che ad esempio . Allora per ogni esiste tale che Dimostrazione: Consideriamo in la funzione che è continua e agli estremi dell’intervallo assume valori di segno diverso, quindi per il teorema di esistenza degli zeri, si annulla in un punto : si ha dunque e quindi che Osservazioni:
- Se l’intervallo non è chiuso e limitato la tesi vale egualmente: basta applicare il teorema ad una restrizione (ad un sotto intervallo)
- Se non è definita in un intervallo il teorema non vale: basti pensare ad esempio ad una funzione definita nell’unione di due intervalli disgiunti, costante in ciascuno di essi, con valori diversi delle costanti
- Il viceversa del teorema non vale: la funzione definita in ponendo in verifica la PVI ma non è continua
- Il teorema di esistenza degli zeri è un caso particolare del teorema di Darboux
Teorema di continuità delle funzioni monotone
Teorema: Sia una funzione strettamente monotona e sia verificata la PVI allora è continua Dimostrazione: Supponiamo che sia crescente e proviamo la continuità in un punto interno ad . Dal teorema sui limiti delle funzioni monotone segue che per provare la continuità basta provare che . Supponiamo per assurdo che non sia vero, ad esempio si abbia . Sia per la PVI esiste tale che . L’assurdo segue dal fatto che non può esistere, infatti:
- se si avrebbe
- se si avrebbe
- se si avrebbe L’assurdo è dunque trovato.
Conseguenze di questi teoremi
- Immagine di un intervallo mediante una funzione continua: Sia una funzione continua, dal teorema di Darboux segue che la sua immagine è un intervallo, e dal teorema di Weierstrass segue che possiede minimo e massimo quindi la sua immagine è l’intervallo chiuso e limitato
- Se è crescente la sua immagine è l’intervallo
- Se è decrescente la sua immagine è l’intervallo In generale, se è una funzione continua in un intervallo generico la sua immagine è l’intervallo
- Continuità della funzione inversa: sia una funzione strettamente crescente e continua (può essere anche decrescente). Allora la sua inversa è continua.
- Continuità delle funzioni elementari: tutte le funzioni elementari che abbiamo introdotto sono continue nei rispettivi insiemi di definizione. Sia infatti un punto dell’insieme di definizione di . Se è contenuto in un intervallo in cui è monotona, la continuità in segue dal teorema di continuità delle funzioni monotone, in caso contrario il limite destro e sinistro coincidono
Punti di discontinuità
Data una funzione , un punto (insieme dei punti di accumulazione) è detto punto di discontinuità per in uno dei seguenti casi:
- se non è definita in
- se non è dotata di limite al tendere di a
- se
- per
Dato punto di discontinuità possiamo dire che:
- per
- è eliminabile se esiste ed è finito. In tal caso, definendo otteniamo una funzione continua in .
- è di prima specie se i limiti:
- esistono entrambi finiti ma sono distinti in tal caso il numero è detto salto di in corrispondenza di
- è un punto di infinito se diverge al tendere di a , se è un punto di infinito per allora c’è un asintoto verticale di equazione
Capitolo 4
Questo è la rielaborazione del file AppuntiCap4.pdf
Calcolo differenziale per le funzioni reali di una variabile reale
Derivabilità
Rapporto incrementale
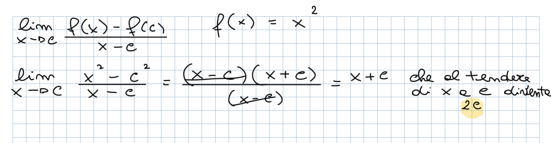
^47484b Dati una funzione e un punto abbiamo definito il rapporto incrementale di relativo al punto in queste 2 forme:
- definito in
- definito in
e abbiamo visto che la funzione è crescente\decrescente nel punto se e solo se in un intorno di . Ricordiamo che ed si ottengono per composizione l’uno dell’altro, e quindi:
- Per il teorema sui limiti delle funzioni composte è del tutto equivalente calcolare il limite di al tendere di a o il limite di al tendere di a .
- Se tale limite è positivo\negativo per il teorema della permanenza del segno la funzione risulterà crescente\decrescente nel punto
Definizione
Si dice che è derivabile nel punto se il limite del rapporto incrementale ( oppure ) esiste ed è finito si dice che tale limite è detto derivata di in e si denota con . Inoltre possiamo dire che:
- è derivabile in se lo è in ogni punto, e in tal caso si definisce una funzione che ad ogni punto associa la derivata di in
- se la funzione è a sua volta derivabile in , la sua derivata è detta derivata seconda di in e si denota con se ciò accade in ogni punto di allora possiamo definire la funzione , procedendo in modo iterativo si possono definire le derivate di ordine superiore
Tip
è derivabile in se:
- per valori di che si avvicinano a il rapporto incrementale esiste ed è finito
- per valori di che si avvicinano a il rapporto incrementale esiste ed è finito

Derivata destra e sinistra
Se il punto è interno all’intervallo è possibile calcolare il limite sinistro e destro del rapporto incrementale, se esistono e sono finiti, essi vengono chiamati:
- derivata sinistra
- derivata destra Ovviamente è derivabile in se e solo se . Se l’intervallo è chiuso è possibile prendere in considerazione la derivata anche nei punti e :
- la derivata nel punto è una derivata destra
- la derivata nel punto è una derivata sinistra
Teoremi
Teorema: Se è derivabile in allora è continua Dimostrazione: Si ha e questa quantità al tendere di a converge a . Il viceversa non vale, consideriamo i due seguenti esempi:
- Il rapporto incrementale diverge al tendere di a
- . Il rapporto incrementale vale per e per quindi tende ad al tendere di a da destra e a al tendere di a da sinistra. Le funzioni presentate nei precedenti esempi sono continue nel punto ma non sono derivabili in tale punto. Il seguente risultato prova che una funzione è derivabile nel punto solo se è possibile approssimarla in un intorno di , con un polinomio di primo grado.
Teorema: è derivabile in se e solo se esiste un polinomio di primo grado tale che e che
Osservazione: la condizione significa che la differenza è un infinitesimo di ordine superiore rispetto a quindi al tendere di a è trascurabile: dunque si può approssimare con il polinomio
Dimostrazione: Se è derivabile in , basta porre:
si ha infatti
Viceversa, se esiste il polinomio si ha
Interpretazione geometrica
La derivata rappresenta il coefficiente angolare della retta tangente in un punto del grafico. La retta secante, che unisce due punti e , ha coefficiente angolare dato dal rapporto incrementale . Se la funzione è derivabile in , . In questo caso, la retta secante tende alla tangente al grafico in , con equazione . La tangente rappresenta la posizione limite delle secanti e approssima il grafico localmente come un polinomio di primo grado. In situazioni particolari, come in , la tangente può essere verticale.
Regole di derivazione
In questo paragrafo vengono presentate le regole per derivare funzioni ottenute mediante operazioni tra funzioni derivabili:
- Combinazione lineare: Siano derivabili in un punto e . Indicata con la combinazione lineare questa è derivabile nel punto e diventa: . Il rapporto incrementale di è la combinazione lineare dei rapporti incrementali di e mediante le costanti e
- Prodotto: Siano derivabili in un punto . Indicata con la funzione prodotto , quest’ultima è derivabile nel punto e si ha
- Reciproco: Sia derivabile in un punto e tale che . Indichiamo con la funzione reciproca del tipo , la funzione è derivabile nel punto e si ha
- Quoziente: Siano derivabili in un punto e si abbia . Indicata con la funzione quoziente del tipo , la funzione è derivabile nel punto e si ha arriviamo a questa conclusione scrivendo nella forma e applicando le regole 2 e 3
- Funzione composta: Siano date due funzioni
- e supponiamo che sia derivabile nel punto e che sia derivabile nel punto allora indichiamo con la funzione composta del tipo: questa è derivabile nel punto e diventa
- Funzione inversa: Sia una funzione strettamente crescente e continua, se essa è invertibile la sua inversa è , sia , dato tale che allora si può dimostrare che è derivabile in e diventa
Derivate delle funzioni elementari
Di seguito le formule che permettono di derivare le funzioni elementari:
- Funzione costante: Se il suo rapporto incrementale è nullo quindi
- Funzione potenza con esponente intero: nel caso il rapporto incrementale è:

- Funzione con valore assoluto: la funzione non è derivabile nel punto mentre:
- se si ha
- se si ha la derivata di è la cosiddetta funzione segno, che può essere scritta mediante l’espressione
- Funzione esponenziale: Se il rapporto incrementale è e si può provare che al tendere di a si ha il limite e quindi si ha che: inoltre se allora si ha che
- Funzione logaritmo: Per calcolare questa derivata useremo la regola per la derivata della funzione inversa. Preso la cui inversa è , se , sia tale che ossia . Si ha quindi quindi ne segue che: o più in generale che: Inoltre grazie alla regola delle funzioni compose possiamo dire che:
- Funzione potenza con esponente qualunque: Se consideriamo da cui quindi possiamo dire che

- Funzioni trigonometriche: usando la formula del rapporto incrementale si dimostra che

- Funzioni inverse delle funzioni trigonometriche: utilizzando le regole di derivazione delle funzioni inverse si può provare che: f(x) = \arcsin(x) \text{ diventa } f'(x) = \frac{1}{\sqrt{1-x^2}}$$$$f(x) = \arccos(x) \text{ diventa } f'(x) = \frac{1}{-\sqrt{1-x^2}}$$$$f(x) = \arctan(x) \text{ diventa } f'(x) = \frac{1}{1+x^2}
Teoremi sul calcolo differenziale e loro applicazioni allo studio delle funzioni
Studiare una funzione significa individuare a partire dalla legge di definizione le sue principali proprietà analitiche:
- limitatezza
- continuità
- derivabilità
- monotonia
- convessità
- ecc… Per individuare alcune di queste proprietà sarà molto utile lo studio delle derivate.
Conseguenza della derivata
Ricordando il teorema sul rapporto incrementale scritto nel capitolo 1 che ci diceva che la funzione è crescente (o decrescente) nel punto se e solo se (o ) in un intorno di . Quindi usando le derivate possiamo affermare che se (o ) allora per il teorema della permanenza del segno si avrà (o ) in un intorno di .
Teorema 1 (monotonia locale)
Teorema: Se allora è crescente (oppure decrescente) nel punto , il viceversa non è vero.
- Ad esempio è crescente nel punto ma .
Teorema di Fermat
Teorema: Data una funzione sia un punto di minimo o di massimo relativo per . Si supponga che sia derivabile nel punto allora si ha Dimostrazione: Dato che il è interno, la derivata è il limite del rapporto incrementale sia da sinistra che da destra. il numeratore del rapporto incrementale in un intorno di ha sempre lo stesso segno sia a destra che a sinistra, mentre il denominatore è negativo a sinistra di e positivo a destra, quindi possiamo dire che:
- quindi necessariamente . Il viceversa di questo teorema non vale infatti prendendo la funzione si ha ma il punto non è un estremo relativo, infatti è crescente in ogni punto di . Quindi il fatto che è una condizione necessaria, ma non sufficiente, per l’esistenza di un estremo relativo. Infine possiamo dire che i punti tale sono detti punti stazionari o critici per .
Teorema di Rolle
Teorema: Sia una funzione reale continua nell’intervallo chiuso e derivabile in tale che . Allora esiste tale che Dimostrazione: Per il teorema di Weierstrass è dotata di minimo e massimo assoluti:
- punto di minimo assoluto
- punto di massimo assoluto Se e (o viceversa) allora il minimo e il massimo assoluti della funzione sono uguali quindi è costante e la sua derivata è ovunque nulla. In caso contrario uno dei due punti è interno, in esso allora la derivata è nulla per il teorema di Fermat
Teorema di Lagrange
Teorema: Sia una funzione reale continua nell’intervallo e derivabile . Allora esiste tale che Dimostrazione: Consideriamo in la funzione Si vede facilmente che essa verifica le ipotesi del teorema di Rolle, quindi esiste tale . Dal fatto che segue subito la tesi.
Corollari del teorema di Lagrange
- Teorema del prolungamento della derivata: Sia data una funzione e sia . Supponiamo che sia derivabile in e che sia continua in . Supponiamo inoltre che esista il e sia esso allora si ha
- Osservazione: Dal teorema appena enunciato segue che le funzioni e non sono derivabili in e , infatti sono continue ma le loro derivate divergono al tendere di a tali punti.
- Criterio di monotonia: Sia data una funzione derivabile, questa è un condizione sufficiente affinché sia crescente in è che
- Dimostrazione: Siano con . Applicando il teorema di Lagrange ad nell’intervallo si ottiene che esiste tale che da cui la tesi.
- Criterio di stretta monotonia: Sia data una funzione derivabile. Condizione necessaria e sufficiente affinché sia strettamente crescente in è che:
- e che non esista nessun intervallo tale che
- Teorema sulle funzioni con derivata nulla: Sia data una funzione derivabile, tale che , allora è costante in
- Dimostrazione: Siano due punti generici di con . Applicando il teorema di Lagrange ad nell’intervallo si ottiene l’esistenza di tale che quindi e date che e sono arbitrari, ne segue la tesi.
- Osservazione: è importante che sia definita in un intervallo, infatti se ad esempio prendiamo la funzione definita in ponendo in e in ha derivata nulla in tutto il suo insieme di definizione ma non è costante.
Metodo per lo studio dei punti stazionari
Metodo:
Sia una funzione derivabile in e sia tale che . Dai risultati precedenti segue che può essere un punti di estremo relativo. Ricordando i criteri di monotonia segue che:
- se in un intorno sinistro di e in un intorno destro di , allora è un punto di minimo relativo per .
- se in un intorno sinistro di e in un intorno destro di , allora è un punto di massimo relativo per . In pratica un punto stazionario è un punto di estremo relativo per se in corrispondenza di la derivata cambia segno. Se esiste la derivata seconda in , possiamo raffinare lo studio anche utilizzando il segno della derivata seconda, e precisamente si ha:
- , allora è un punto di minimo relativo per
- , allora è un punto di massimo relativo per Infatti dato che è la derivata della funzione nel punto , se la funzione è crescente nel punto , in cui vale zero, quindi si avrà in un intorno sinistro di e in un intorno destro di e dal risultato “1.” ne segue che è un punto di minimo relativo per .
In definitiva
se la funzione è crescente o decrescente nel punto se e , è un punto di estremo relativo per
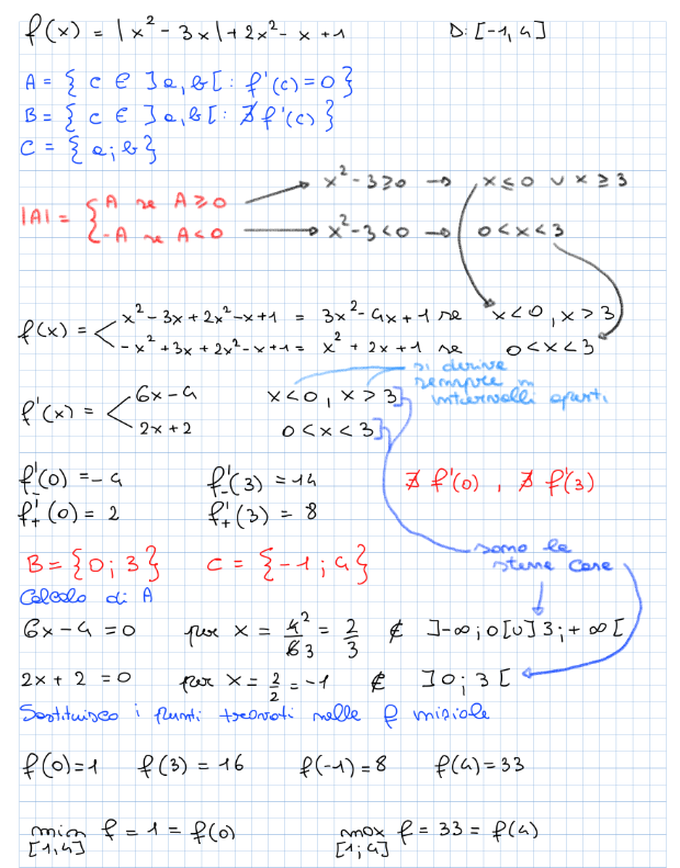
Metodo per la ricerca degli estremi assoluti
Metodo:
Sia una funzione reale continua in il teorema di Weierstrass assicura l’esistenza degli estremi assoluti, per individuarli occorre determinare i seguenti insiemi:
-
in quanto, se un punto di estremo assoluto appartiene all’interno di in tale punto la derivata, se esiste, è nulla per il teorema di Fermat: Pertanto, i punti di estremo assoluto andranno cercati o all’interno dell’intervallo, e in tal caso la derivata o non esiste oppure esiste e vale zero, oppure agli estremi dell’intervallo. Un volta determinati i tre insiemi basta calcolare i valori della funzione in tutti i punti di tali insiemi per trovare il minimo e il massimo.

Funzioni localmente convesse
Definizione
Sia una funzione derivabile e sia , ricordiamo che l’equazione della tangente al grafico di nel punto di ascissa è e questa divide il piano in due semipiani:
- Semipiano superiore definito come:
- Semipiano inferiore definito in modo analogo e lo indichiamo con La funzione si dice convessa nel punto se esiste tale che, se si ha: ossia per tutti i punti di un opportuno intorno di il corrispondente punto del grafico appartiene a . La funzione si dice concava nel punto se per tutti i punti di un opportuno intorno di il corrispondente punto del grafico appartiene a . Se in non è né convessa né concava si dice che è un punto di flessoper , hanno particolare interesse i punti di flesso detti punti di flesso propri che si hanno quando:
- se il corrispondente punto del grafico appartiene a
- se il corrispondente punto del grafico appartiene a Si può dimostrare che è convessa in se lo è in ogni punto.
Teoremi
Teorema: sia una funzione derivabile in e sia tale che esista . Allora è convessa in (allo stesso modo si dice che se esiste allora è concava in .) Dimostrazione: Dobbiamo provare che in un opportuno intorno di si ha . Consideriamo allora in la funzione , la funzione che ci indica la distanza verticale tra e la tangente in quindi ci basterà provare che (se questo valore è positivo la nostra funzione si trova sopra la tangente) in un intorno di . Da questo capiamo che:
- Si ha
- che è uguale a 0 nel punto
- la derivata di è quindi non lo scrivo
- la derivata di è
- e che esiste . ha dunque in un minimo relativo (perché la derivata prima è 0 invece la seconda è positiva) dunque esiste un intorno di in tutti i punti del quale si ha come si voleva.
Continuo del teorema: Ne segue che se esiste la derivata seconda in tutto l’intervallo , gli eventuali punti di flesso vanno cercati fra i punti tali che e in tal caso si ha un flesso proprio se:
- in un intorno sinistro di
- in un intorno destri di
Teorema di de l’hopital: Siano due funzioni reali derivabili in tali che:
- oppure che
- esiste il ( oppure ) Allora, si ha:
EXAMPLE
Si voglia calcolare il allora si ha:
facendo la derivata otteniamo: quindi possiamo concludere che il limite richiesto vale zero
Questo teorema può essere utile anche nella ricerca degli asintoti obliqui. Supponendo infatti che:
- allora si avrà dove è il coefficiente angolare dell’eventuale asintoto obliquo
Ovviamente ci sono dei casi in cui questo teorema non va usato:
- il rapporto delle derivate tende ad 1 ma non è opportuno applicare questo teorema in quanto per calcolare la derivata di era già necessario conoscere tale limite.
Quote
Se non vi ricordate il risultato di qualche limite notevole potete usare de l’hopital basta che non lo vedo io (by Ornella Naselli)
- . il limite vale zero, come si vede subito riscrivendo la funzione nella forma . Il rapporto delle derivate non è di nessun aiuto in quanto vale . Precisiamo infine che in alcuni casi il limite di esiste anche se non esiste il limite di il teorema fornisce dunque una condizione sufficiente ma non necessaria. Consideriamo ad esempio, per la coppia di funzioni . Il loro rapporto è che tende a zero. Il rapporto delle derivate è che al tendere di a non è regolare.
EXAMPLE
Esercizi di esempio
![]()
![]()
ottenendo un quoziente dei due numeri, in forma algebrica.
by ChatGpt
Salvo Romeo



